New Research Highlights 17 Lifestyle Factors Critical in Preventing Alzheimer’s and Vascular Dementia
The global health landscape is shifting dramatically as the number of people living with dementia is projected to double over the next 25 years.
While genetics play a role in some cases, emerging research from Lund University in Sweden suggests that lifestyle choices may be a critical factor in the development of two of the most common forms of the disease: Alzheimer’s and vascular dementia.
By identifying 17 key factors that influence these conditions, scientists are offering a roadmap for prevention that could reshape public health strategies worldwide.
The study, which analyzed data from 494 participants, examined both fixed and modifiable risk factors, including age, genetics, sex, and lifestyle elements such as alcohol consumption, physical activity, and smoking.
Researchers found that 45% of dementia cases could be linked to lifestyle factors that individuals have the power to change.
This revelation underscores a growing consensus among medical experts that prevention, not just treatment, must be a priority in the fight against dementia.
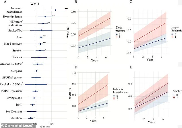
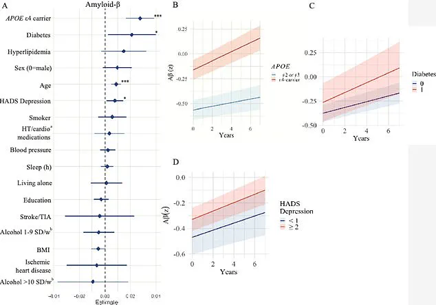
Among the factors investigated, the study focused on three critical brain markers: white matter hyperintensities (WMHs), amyloid-beta plaques, and tau tangles.
WMHs, often seen in older adults with conditions like high blood pressure or diabetes, are associated with cognitive decline and stroke.
Amyloid-beta proteins form the hallmark plaques in Alzheimer’s brains, while tau proteins create tangles that disrupt neural function.
By analyzing how each risk factor impacts these brain changes, the researchers aimed to uncover actionable insights for the public.

The findings revealed stark disparities in the influence of different factors.
For instance, high blood pressure, heart disease, and smoking were strongly linked to WMH accumulation, while diabetes and depression correlated with amyloid-beta buildup.
APOE e4 gene carriers, individuals with a higher genetic risk for Alzheimer’s, showed increased tau accumulation, but this was also influenced by body mass index.
These results highlight the complex interplay between biology and lifestyle, emphasizing that even those with a genetic predisposition can mitigate risks through healthier habits.
Sebastian Palmqvist, a senior lecturer in neurology at Lund University and lead author of the study, emphasized the importance of targeting modifiable factors. 'Much of the research available on the risk factors we can influence does not take into account the different causes of dementia,' he said. 'This means we’ve had limited knowledge of how individual risk factors affect the underlying disease mechanisms in the brain.' His statement reflects a broader shift in dementia research, which is increasingly focused on personalized prevention strategies.
The implications of the study are profound, especially given the staggering numbers of people affected.
In the United States alone, Alzheimer’s disease impacts nearly 7 million individuals, a figure expected to nearly double by 2050.
Vascular dementia, which affects approximately 807,000 Americans, is even more widespread when considering mixed dementia cases with vascular components, which total around 2.7 million.
These statistics underscore the urgency of identifying effective interventions.
The Lund University study builds on earlier research, including a landmark 2020 report in The Lancet that identified 14 modifiable risk factors for dementia, such as physical inactivity, smoking, poor diet, and social isolation.
A separate study, the US POINTER trial, further reinforced these findings by showing that aerobic exercise and a Mediterranean diet can enhance cognitive function in at-risk populations.
Together, these studies paint a clear picture: lifestyle modifications are not just beneficial—they are essential.

Public health officials and medical professionals are now faced with the challenge of translating these findings into actionable policies.
Encouraging regular physical activity, promoting smoking cessation, and improving access to mental health services are just a few of the steps that could reduce dementia risk on a large scale.
However, the success of these efforts will depend on addressing systemic barriers, such as socioeconomic disparities that limit access to healthy foods, safe exercise environments, and quality healthcare.
As the global population ages, the need for comprehensive dementia prevention strategies has never been more urgent.
The Lund University research offers a detailed framework for understanding the disease’s roots, but its true value lies in its potential to empower individuals and communities.
By focusing on modifiable risk factors, society may yet turn the tide against one of the most formidable challenges of the 21st century.
A groundbreaking study published earlier this month in *The Journal of Prevention of Alzheimer's Disease* has shed new light on the complex interplay between lifestyle, genetics, and brain health in older adults.
Researchers from Sweden analyzed data from 494 participants, who underwent comprehensive assessments including lifestyle questionnaires, genetic blood tests to detect the APOE e4 gene—a well-known risk factor for Alzheimer's—and a range of health metrics such as BMI, blood pressure, and sleep patterns.

The study also involved advanced neurological imaging, with participants providing cerebrospinal fluid samples and undergoing MRI and PET scans to examine brain structure and function.
With an average participant age of 65 and a follow-up period of four years, the research team aimed to uncover early indicators of dementia and identify modifiable risk factors that could influence brain health over time.
The findings revealed a troubling correlation between aging and the progression of white matter hyperintensities—damaged areas in the brain that are often linked to cognitive decline.
Participants carrying the APOE e4 gene, which is associated with a higher risk of Alzheimer's, showed accelerated accumulation of amyloid-beta and tau proteins, two hallmarks of the disease.
However, the study also uncovered a broader picture, highlighting vascular brain changes as significant contributors to dementia risk.
Conditions such as high blood pressure, hyperlipidemia (elevated fats in the blood), heart disease, and smoking were strongly tied to vascular damage in the brain.
These factors can impair blood flow and oxygen supply, leading to the deterioration of brain regions critical for memory and cognition.
The research team also identified lower levels of education as a risk factor, suggesting that reduced access to healthcare, higher stress levels, or fewer opportunities for mental stimulation might contribute to the development of dementia.
This finding adds another layer to the understanding of how socioeconomic factors intersect with brain health.
Meanwhile, patient stories underscore the human impact of these findings.
Rebecca Luna, diagnosed with early-onset Alzheimer's in her late 40s, experienced sudden blackouts, memory lapses, and dangerous forgetfulness, such as leaving stoves unattended.
Jana Nelson, diagnosed at 50, faced severe personality changes and a dramatic decline in cognitive abilities, including an inability to solve basic math problems or name colors.
Isabelle Glans, a study author and doctoral student at Lund University, emphasized the significance of vascular and metabolic risk factors. 'We saw that most modifiable risk factors—smoking, cardiovascular disease, high blood lipids, and high blood pressure—were linked to damage to the brain's blood vessels and a faster accumulation of so-called white matter changes,' she explained. 'This damage impairs the function of the blood vessels and leads to vascular brain damage—and can ultimately lead to vascular dementia.' The study also found that diabetes was associated with increased amyloid-beta accumulation, possibly due to insulin resistance disrupting the brain's ability to clear the protein.

Conversely, lower BMI was linked to faster tau accumulation, a finding that challenges the conventional wisdom that obesity is the sole concern for brain health.
Lower BMI in older adults may be tied to the development of tau tangles in brain regions that regulate appetite and weight, such as the hypothalamus and medial temporal lobe.
Additionally, low BMI has been linked to reduced cerebral metabolism, lower energy consumption, and brain atrophy.
While these findings are intriguing, Glans cautioned that further research is needed to validate the results. 'These findings need to be investigated further and validated in future studies,' she said.
Despite these uncertainties, the study authors stressed the importance of early intervention.
Palmqvist, a lead researcher, noted that addressing vascular and metabolic risk factors could mitigate the combined effects of multiple brain changes that occur simultaneously. 'Focusing on these factors can still help reduce the combined effects of several brain changes that occur simultaneously,' he said, offering a glimmer of hope for preventing dementia through lifestyle modifications.
The study's implications extend beyond individual health, pointing to the need for public health strategies that target modifiable risk factors.
By highlighting the role of vascular health, education, and metabolic balance, the research underscores the potential for preventive measures to delay or even avert dementia.
As the global population ages, such insights may become crucial in shaping policies and interventions aimed at preserving cognitive health for millions of people.
Photos