Exclusive Study Reveals Privileged Insights into Age-Driven Preferences in Female Attraction to Actors
In a groundbreaking study that has sent ripples through the fields of evolutionary psychology and human behavior, scientists have uncovered a startling revelation about why older women are drawn to the rugged charm of actors like Pierce Brosnan, while younger women are more captivated by the boyish appeal of Zac Efron.
The research, published in the journal *Adaptive Human Behavior and Physiology*, delves into the intricate web of preferences that shape how women of different ages perceive attractiveness in men, offering a window into the evolutionary underpinnings of mate selection.
The study, conducted by a team of researchers from Wroclaw Medical University in Poland, involved 122 women aged between 19 and 70.
Participants were shown a series of digitally altered photographs of men, each manipulated to highlight varying degrees of facial masculinity, beardedness, body shape, and muscle mass.
The images were carefully curated to isolate specific traits, allowing researchers to analyze how age influenced perceptions of desirability.
The results, as the team explains, reveal a striking divergence in preferences that aligns with biological and social priorities at different life stages.
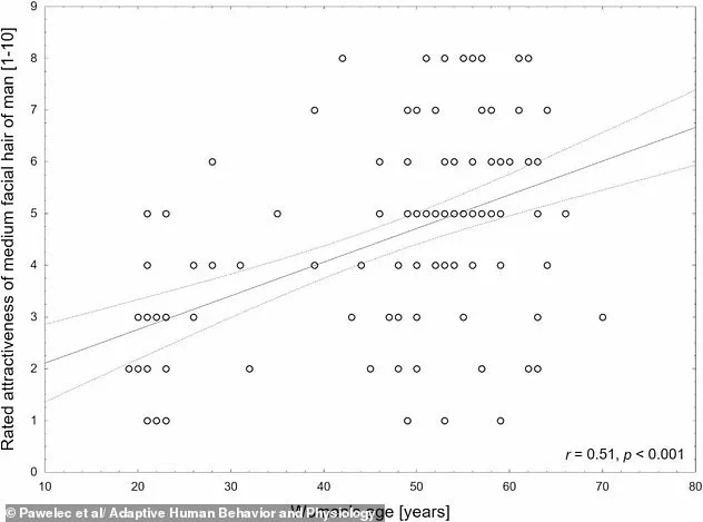
One of the most notable findings is that older women—particularly those who are postmenopausal—rated men with fuller beards and slimmer builds as significantly more attractive than their younger counterparts.
This preference for beardedness, the researchers suggest, may be tied to perceptions of maturity, status, and long-term commitment, traits that become increasingly important as women age and reproductive concerns diminish.
In contrast, younger women, who are typically in their peak reproductive years, showed a stronger preference for more muscular physiques, a trait that may signal physical fitness and the ability to provide for offspring.
The study also uncovered a surprising shift in preferences related to body shape.

Postmenopausal women, for instance, found V-shaped bodies—often associated with a more masculine, athletic build—less appealing compared to women in other life stages.
This could reflect a broader shift in priorities, where health and longevity may take precedence over physical dominance.
The researchers note that a slimmer build, which might indicate better metabolic health or lower disease risk, becomes more attractive as women age, possibly due to a greater emphasis on long-term stability and partner reliability.
The implications of these findings extend beyond mere aesthetics, touching on the complex interplay between biology, culture, and individual experience.
The researchers propose that these preferences may be rooted in evolutionary strategies, where younger women prioritize traits linked to fertility and survival, while older women focus on qualities that suggest stability, resourcefulness, and emotional investment.
This shift, they argue, could explain why mothers and daughters often have starkly different tastes in partners, with each generation navigating distinct biological and social landscapes.
To further illustrate the study’s methodology, the researchers provided a series of images that demonstrated the range of alterations made to the photographs.
The top row showed variations in face shape, with A representing a feminized face, B a medium, and C a masculinized one.
The second row displayed changes in facial hair, with A as light, B as medium, and C as a full beard.

Additional images highlighted differences in body shape and muscle mass, allowing participants to rate each trait independently.
These visual tools, the team explains, were crucial in isolating specific features and ensuring that preferences were not influenced by unrelated characteristics.
The study also acknowledges potential limitations, such as the cultural context of the participants and the possibility that individual differences—such as personal experiences or societal norms—may influence preferences.
However, the researchers emphasize that the patterns observed are consistent with broader evolutionary theories and align with previous studies on age-related changes in mate preferences.
They conclude that these findings not only deepen our understanding of human attraction but also highlight the dynamic nature of beauty standards across the lifespan.
As the research continues to unfold, it raises intriguing questions about how societal expectations, media portrayals, and personal identity shape our perceptions of attractiveness.
For now, the study serves as a reminder that beauty is not a fixed concept, but a fluid, ever-evolving reflection of the biological and social forces that define us.
A groundbreaking study has revealed a striking shift in female preferences as women age, challenging long-held assumptions about attractiveness and evolutionary biology.

Researchers found that older women, whose reproductive functions are suppressed during menopause, increasingly favor facial hair and slimmer builds in potential partners—a stark contrast to the clean-shaven, muscular ideals preferred by younger women.
The findings, published in a recent journal, suggest that as women transition through life stages, their priorities in mate selection evolve in ways that may reflect broader biological and social imperatives.
The research team analyzed data from thousands of participants, uncovering a clear pattern: as women aged, their attraction to beards grew progressively stronger.
This preference aligns with the idea that beards are perceived as markers of maturity and social dominance, traits that may become more appealing as women shift focus from reproduction to other life goals.
Meanwhile, younger women were more likely to be drawn to well-defined physiques, a trait linked to genetic quality and the ability to provide physical protection for offspring.
The study’s authors noted that this divergence could be rooted in evolutionary strategies, where younger women prioritize traits that signal reproductive fitness, while older women seek stability and reliability.
The researchers highlighted the case of Zac Efron, whose clean-shaven, muscular image resonates with younger audiences, versus Pierce Brosnan, whose bearded, leaner appearance appeals more to older women.
This dichotomy underscores the study’s central argument: that as women age, their attraction to traits traditionally associated with youth and fertility wanes, while characteristics tied to maturity and social status gain prominence.
The study also points to the cultural significance of facial hair, with a recent UK survey of 2,500 women revealing that seven in 10 now prefer a man with facial hair over one with a sculpted torso.
The outlaw moustache, as seen on actor Pedro Pascal, even topped the list of preferred styles, with over 20% of respondents voting for it.

The findings are further contextualized by the 'grandmother hypothesis,' which posits that as women age, their biological drive to reproduce diminishes, and they instead focus on supporting their families through caregiving and resource-sharing.
This shift may explain why older women are more attracted to traits that signal stability, such as a leaner build and facial hair, which are perceived as indicators of approachability and long-term reliability.
In contrast, younger women’s preference for muscularity may reflect an unconscious desire for partners who can offer genetic advantages and physical protection for offspring.
The study’s implications extend beyond evolutionary biology, touching on contemporary dating trends.
Sylvia Linzalone, a dating expert from Wisp, noted that the 'days of the six-pack being the ultimate turn-on are fading fast.' She emphasized that facial hair now conveys 'confidence, maturity, and a bit of mystery,' qualities that resonate with modern women seeking authenticity over superficial aesthetics.
This cultural pivot suggests that as societal norms around attractiveness evolve, so too do the unspoken rules governing mate selection, reflecting a complex interplay of biology, psychology, and changing social values.
The research team stressed the importance of these findings in understanding human behavior, particularly as populations age and traditional gender roles continue to shift.
They called for further studies to explore how these preferences manifest in real-world relationships and whether they influence broader social dynamics.
For now, the study offers a fascinating glimpse into how biology and culture shape the ever-changing landscape of attraction, revealing that beauty standards are far from static—and may be as much about survival and social cohesion as they are about romance.
Photos